kungurlider-sport.ru

20 天線 50 天線 (99) 사진

台灣公司可打統編】低頻短波天線30-88M 20-100Mhz 27兆天線手臺單兵鞭狀天線背負式/便攜式終端電臺軟鞭天線SMA頭TNC陽頭|

中電信升破20天線及50天線料可返回去年走勢頂部| am730 | am730

20米30米45米50米60米3腿钢GSM LTE管状天线塔电信格子塔,带3腿管桅杆

天线B和天线C高频辐射方向图

Logic - 原來這個經濟通etnet 的一週部署,雖然唔係成日做。不過原來暫時係最高收視保持者🙏 其實要錄影去分析都有少少難度。 |  Facebook

初學投資】什麼是市寬?對分析大市趨勢及牛熊周期有冇幫助?

大唐电信:低轨卫星相控阵天线-东方财富网股吧

50吋4KSMART TV 三星50TU8000 wifi 上網電視HK$2,000 ✓深水埗門市/現場試機✓免費包裝好電視避免碰撞✓  購買附送:電源線+天線+遙控✓ 保養:三個月🚚送貨:可代call gogovan

Yesterday was ugly🔪🩸因為SPX, NDX 都係20天線being rejected ,高開低走並且失守50天線 ,代表大戶係趁高出貨賣出離場儲存芯片的

Amazon.com: SDTC Tech N 型公轉SMA 公同軸轉接器纜線同軸天線延伸器Wi-Fi 連接器RG316 跳線(20 英吋/50  公分) : 電子

How to build a limited space 10 and 20 meter band Square Halo DX antenna -  PA9X

可移动天线和固定位置天线MIMO信道容量对比

恒生指數候機上破100天及50天線:年底前大市技術上該可看高一線

阅读全文

50-5馈线50欧低损室外跳线5d-fb同轴电缆路由网卡天线连接延长线评价- 淘宝网

飞机上的天线串扰模拟| COMSOL 博客

市況短評-留意中線市寬20大強勢股尋寶| EJFQ 信號- 全方位股票分析系統

恒生指數形態上仍暫屬先高後低要真正回穩需達到這先決條件

恒生指數再跌穿50天線|港股走勢仍處中期大升後正常調整

恒生指數重上10天、20天及50天線:25145點該為調整市左腳

GMF4X4 Bonnet UHF Antenna Bracket Passenger Side for Mazda BT-50 11-20

台湾咏业CW503 50*20*10贴片陶瓷天线支援2.4G/4G/5G单双极蓝牙讯号

密云站-50米天线-李俊铎--庆祝国家天文台组建20周年

致早前錯過PLTR TSLA的你🔥 TSLA出現了Setup,正在形成買點👀 若能大成交突破200天線,值得關注10 20天線已經升穿50天線🚀🚀  - PLTR雖然業績出現大跌的情況💥 但打開週線圖,仍是清晰杯柄形態

FAU-20 | Antenna Cable | MIPRO

WR112(BJ84)标准增益喇叭天线|专业型, 同轴N母输入, 6.57-9.99GHz, 增益20dB, FBP84方形平法兰, 正交-  RWHA112N-20

市場觀望恒指窄幅上落全日升135點報24,435 - 澳門力報官網

基站天线简史-电子工程专辑

HW-20HP: Multiband OFCD HF dipole antenna 20/17/15/12/10 and 6m 400W

鱼板雷达(甜甜圈宽频接收天线) - 立创开源硬件平台

20米30米45米50米60米3腿钢GSM LTE管状天线塔电信格子塔,带3腿管桅杆

矢量网络分析仪的天线近场测试方案- 知乎

Gmc Sierra 1500 Accessories VMS RACING 50 Cal Caliber Gunmetal Chrome TIP  Bullet Antenna Heavy Gauge Cnc Machined Billet Aluminum Short Compatible  With Chevrolet Silverado 1500 2500 3500 07 20 Chevy Silverado 1500  Accessories

平面近场天线测试系统- 湖南时变通讯科技有限公司-无人机探测反制-周界安防雷达-养老监护-毫米波雷达模块

Delock Products 88808 Delock LTE Band 20/1/3/7 Antenna N Jack 8 ~ 9 dBi 5.0  m RG-58 directional white outdoor

今日信報- 理財投資- 輪動圖顯示港股正處中期調整- 杜比Sir - 投資搏擊- 信報網站hkej.com

技術取勝- 專家觀點- 明報財經網

有没有人推荐天线方面的书? : r/amateurradio

Amazon.com: Proxicast 10 dBi 4G,5G Omni 天線+ 20 英尺(約7.6 公尺)SMA/N 同軸電纜+  免費矽膠膠帶(ANT-127-002-BDL-25) : 電子

GMF4X4 Bonnet UHF Antenna Bracket Passenger Side for Mazda BT-50 11-20

Rotator Cable 50 Foot Rotor Wire - 3 Conductor Antenna 20 AWG Bare Copper  Antenna Rotator

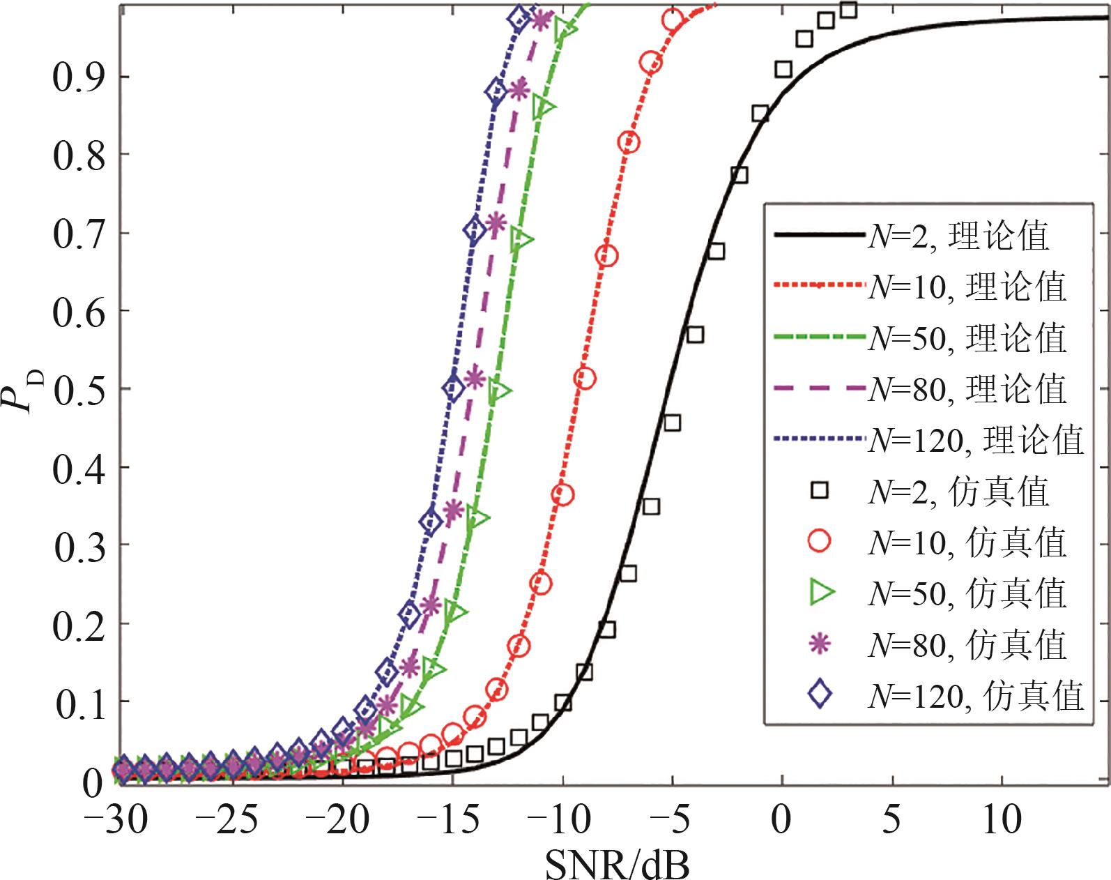
不同接收天线数目N下检测概率PD随SNR的变化曲线,天线组数K=1,虚警概率PFA=0.01

天线辐射方向图结果对比

Pasternack_WR-19 波导锥形增益喇叭天线Operating from 50 GHz - 58 GHz with a Nominal 20  dBi Gain with UG-383/U-Mod Round Cover Flange_PEWAN1035_增益喇叭天线_天线_海频面

一根天线,如何让沉默的机器听见远方的声音?_天线_淘宝数码网

HOXIN UH-50 BASE ANTENNA UHF 400-480 Mhz

V 波段(50-75 GHz) 2 - 毫米波产品| 波导产品| MM 波元件

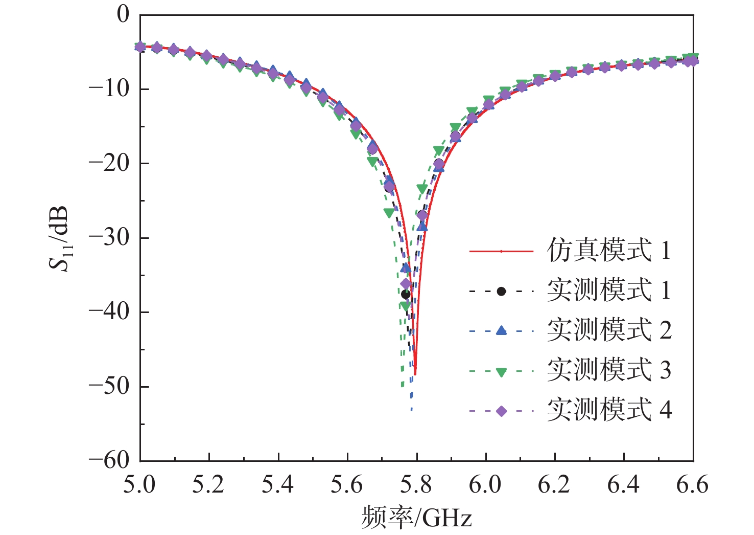
天线S参数仿真与实测对比

Amazon.com: RG-58-U 同軸電纜20 AWG WiFi 天線電纜15 公尺(49.2 英尺) SMA公轉SMA 母頭50  歐姆低損耗RG58/U 同軸電纜適用於無線饋線尾尾適用於

加载人工磁导体的双频柔性可穿戴天线

Amazon.com: RG6 同軸電纜- 優質重型1 英尺2 英尺3 英尺5 英尺6 英尺10 英尺15 英尺20 英尺25 英尺50  英尺高速互聯網,有線電視,天線,衛星低阻同軸電纜延長線連接器0.3 英尺:

TP-LINK 推出199 元BE6400 大道路由器:2.5G 网口,6430Mbps 规格

恒指跌逾400點收市失守20及50天線股評人:取消總理記者會借勢回調- 有線寬頻i-CABLE

PT420-0050-H12-1130 : MEAS 4-20mA 经典拉绳位移电位器| TE Connectivity

Patreon推介破頂再跟進🤩恆指50天線攻防戰點睇💪飯盒事件前瞻餐飲股😅2月20日星期一中午直播 黃德几 DickieTube  Finance事Up🆙投資課程3月新班📝生日優惠週五截止🤩

a) 在不同应变下环形天线的性能曲线; (b) 应用于测量金属拉伸应变时天线传感器的性能曲线;(c) 天线传感器实验及模拟数据拟合曲线; (d) 环形 天线的重复性及稳定性实验结果; (e) 同一样品不同时间的天线谐振频率及灵敏度;(f) 不同样品的天线谐振频率及灵敏度

最近TSLA的反彈極為強勢🔥 上漲時伴隨著超大成交量配合🚀 昨日重返了上升趨勢線,並即日完成Retest -  不過股票脫離調整,一般至少需要兩隻腳👣 留意下一隻腳會是Higher low還是Lower low 同時會留意10 20天線能否重回50天線之上

撐穿50天線- 石鏡泉政政經經- 財智- 生活- etnet 經濟通Mobile|香港新聞財經資訊和生活平台

20天線升穿50天線| Plato @ Investment

天线回波损耗仿真与实测结果

这是我为20米波段1/4波长垂直天线设计的方案,带有两个抬高的径向振子。这可行吗? : r/amateurradio

大市似欲進一步上試100天及50天線| Investing.com

波纹喇叭天线散射的最大值和最小值

上一集阿Sir提到,前面出了一些大前提之後,就等20天線跌穿50天線;現在?立即更進。 【Sky說港美股第一線】呢個世界笠笠亂,係咪要返火星? #恆指#

J Law - 交易日誌【#眾安在綫】6060.HK 突破Pivot,成交量自從觸底回升開始放大,200天線橫行50天線向上,很大機會進入Stage  2。 已建立部位。 | Facebook

50天移動平均線的應用方法– Homebloggerhk 收息買樓債券基金財務自由|Homeblogger 成家網上投資課程

微带天线辐射方向图

特別鳴謝熱心戰友Johnson Clark 為我最近的一條影片作了超捧的補充!👏🙏【如何用TradingView將50天線及200天線以上比率與指數並列觀看】(免費也做到)  影片連結👇👇👇 https://youtu.be/EtGMlNU21Wc 【30分鐘學會股票技術圖!可能連老手都不知道的圖表秘技|K線圖輕易上手  ...

恒指連跌兩日挫188點守住20天及50天線|大紀元時報香港|獨立敢言的良心媒體

实测的天线方向图

恒生指數待20天線再重越50天線:第三次中期升浪的先決條件

GPS北斗天线授时天线GNSS基站天线0.2米~300米超长蘑菇头天线

基站天线简史-电子工程专辑

天线演进回波损耗对比图

Second Hand Yaesu FC-20 Automatic Antenna Tuner | Radioworld

市寬指標終極大全] 之前同大家介紹市寬的post入面,有教過大家點樣用A/D Line去判斷市寬。但其實A/D  Line只係其中一個方法,仲有其他指標可以幫我哋判斷市寬。 今日就同大家介紹多兩個市寬指標啦! . 1. SPXA20R /SPXA200R  兩個都係分別對應S&P500的市寬指標,而50R的數字 ...

Q 波段标准增益喇叭天线| WR-22 | 33 – 50 GHz

用于WPAN 的毫米波片上圆柱介质谐振器天线的XFdtd 仿真| Remcom

Pasternack_鞭状天线Operates From 420 MHz - 450 MHz With a Typical 0 dBi Gain  SMA 母头Input Connector IP67 Rated_PE51159_便携式天线_天线_海频面

天线实物图

港股虎年反撲市底尚未轉強虎年經濟預測- 專題- 信報網站hkej.com

GPS北斗双模天线GNSS授时天线NTP时钟天线基站船用GPS蘑菇头天线

通过扫频确定迷你棒状天线工作频段(四)_天线怎么测试频率-CSDN博客

加载人工磁导体的三频可穿戴天线

港股大跌:恒指跌破20/50天线,市场情绪转向谨慎:點點新聞20251117 - YouTube

技術圖表分析08/06/2023 美團五連升挑戰20天線美團五連升挑戰20天線留意購16835、沽留意購16835、

GPS北斗双模天线GNSS授时天线NTP时钟天线基站船用定位蘑菇头

四元MIMO天线S参数仿真与实测对比

RP-SMA Enterprise Mono-Directional Antennas 5dBi/6dBi Dual Band Duck  Antenna - 900/1800 MHz With RP-SMA Connector, 50 Ohm (USA) USB Modem WiFi  Antenna

信報即時新聞- 即巿股評- EJFQ信析丨科指超賣蓄勢彈阿里業績成拐點- 信報網站hkej.com

50 w 720-850mhz 1.2ghz 5.8 ghz 2.4ghz 20dbi高增益5g反无人机定向室外阻断器全向玻璃纤维天线

美股大市筆記- 2025年12月12日1. SP500及RSP 一齊回調, SPY 跌穿10天線但仍收高於20天線; RSP繼續收高於10天線, ;  VIX 繼續15左右2. SP500指數繼續收高於10週線, 10週線及30週線都趨向上

Q 波段标准增益喇叭天线| WR-22 | 33 – 50 GHz

影片教學– 移動平均線三個簡易選股技巧– Homebloggerhk 收息買樓債券基金財務自由|Homeblogger 成家網上投資課程

金山軟件(3888)20天線升穿50天線見黃金交叉進一步向好|彭偉新

全球滯脹擔憂持續恒指50 天線成短期阻力- 澳門力報官網

面向B5G毫米波40~50 GHz通信的漫散射传播与去极化建模

P=5.3 mm天线口径场分布与方向图(15 GHz)

19 февраль 0 0
2023 copyright text.