kungurlider-sport.ru

信道 利用 率 英文 (99) 사진

RIS辅助通信场景中一种基于展开信道的物理层密钥生成方法

论文评述] Time-Shifted Alternating Gelfand-Pinsker Coding for Broadcast Channels

计算机网络微课堂》1-5 计算机网络的性能指标- peterjxl - 博客园

第三章数据链路层- 半路_出家ren - 博客园

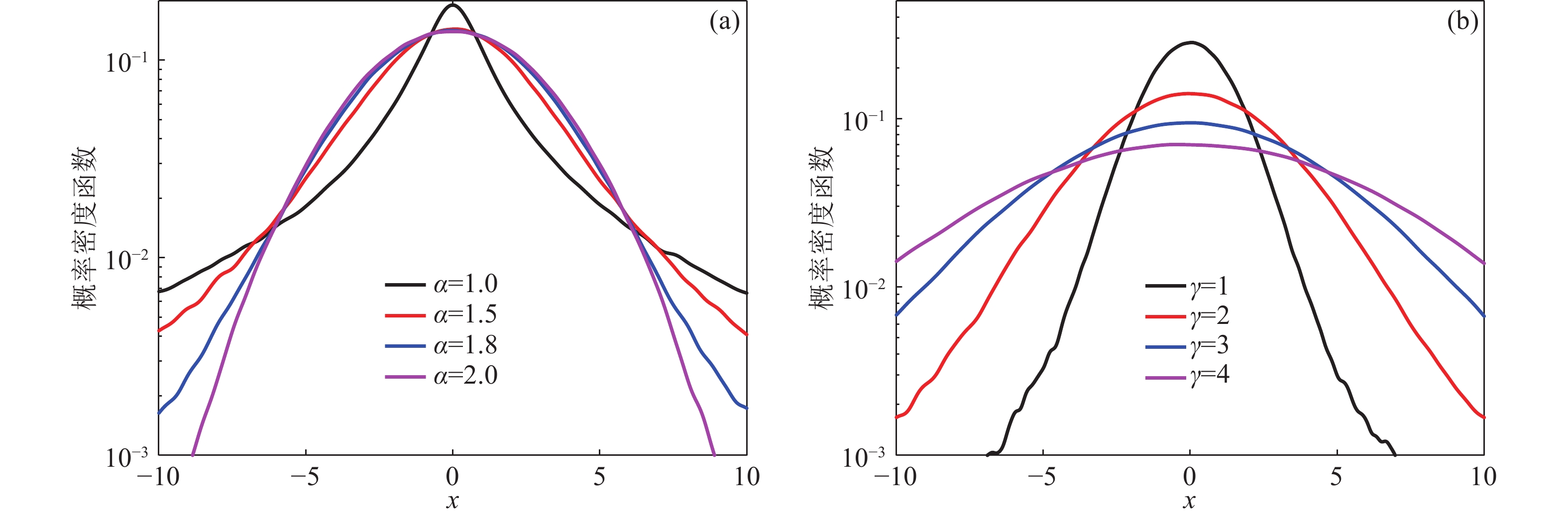
系统误码率和算法运行时间与阈值参数的关系

射频_AP业务配置_业务配置_网络部署_云管理网络_华为乾坤-华为云

快衰落信道分布特性

射频运行状况和利用率|Mist |瞻博网络

信道划分示意图

一、智能会议主机-同频智能会议-信锐技术支持

wifi7与wifi6区别一文读懂(上)

span class=基于导频信号的LTE系统高移动性信道估计算法">

胖AP控制台用户手册-无线接入点NAP-信锐技术支持

信道估计结果

强湍流信道下K分布时的平均信道容量[75]

DDR - 双倍数据速率内存

智能调优概览_智能调优_网络运维_云管理网络_华为乾坤-华为云

1.1_5_2 计算机网络的性能指标(下)_计算机网络性能指标大题及答案解析-CSDN博客

利用不同优化算法所得密钥生成率对比

ap重传率高,丢包率低,网络中断- 知了社区

非平稳动态频谱接入

从WiFi速率到无线通信- TimeForget

基于循环神经网络的SPMA协议信道状态智能检测改进算法

基于KNN插值和基于CNN的信道预测方法的REBj随单位时间间隔数目j变化

72FBA63E-5D28-49fc-BA39-A7EB08F2BA6A-F005.jpg

Zigbee 信道11 的使用率是95.69%!” 没法再添加超过36 个Zigbee 设备了。我卡住了。 : r/homeassistant

UniFi - airTime:什么影响了你的WiFi 性能– Ubiquiti Networks - 产品中文知识库

RIS辅助通信场景中一种基于展开信道的物理层密钥生成方法

星闪技术| 点亮万物互联

连续多组传输中每组信道利用率

有丢包信道下的带宽受限无线视频通信-腾讯云开发者社区-腾讯云

计算机网络——数据链路层3.0 数据链路层数据链路层使用的信道主要有以下两种类型: 点对点信道:这种信道使用一对一的点-

传输速率与无人机-基站距离对比图(能见度1.4 km)

非平稳动态频谱接入

3.4.2退避算法和信道利用率_退避用変数-CSDN博客

一个非常基础的WiFi频道问题:我知道应该选最开放的频道,但也听说只能用1-6-11这几个?我用3可以吗(我现在看是8/9)还是应该改一下? :  r/HomeNetworking

3.4.2退避算法和信道利用率_退避用変数-CSDN博客

1.1_5_2 计算机网络的性能指标(下)_计算机网络性能指标大题及答案解析-CSDN博客

灵活高效超高速WLAN速率自适应算法

不同信道条件下的误码率对比

信道利用率突然占满- Cisco Community

论文评述] Colosseum: The Open RAN Digital Twin

计算机网络】计算机网络标性能指标( 速率| 带宽| 吞吐量| 时延| 时延带宽积| 往返时延RTT | 利用率)-腾讯云开发者社区-腾讯云

思科企业无线:移动应用与Web UI功能- Cisco

RG-AP9520-RDX Wi-Fi 7三射频高密无线AP | 场馆无线AP - 锐捷网络

射频运行状况和利用率|Mist |瞻博网络

wifi7与wifi6区别一文读懂(上)

射频运行状况和利用率|Mist |瞻博网络

论文评述] A New Paradigm of User-Centric Wireless Communication Driven by Large  Language Models

第三章、数据链路层- shaoyayu - 博客园

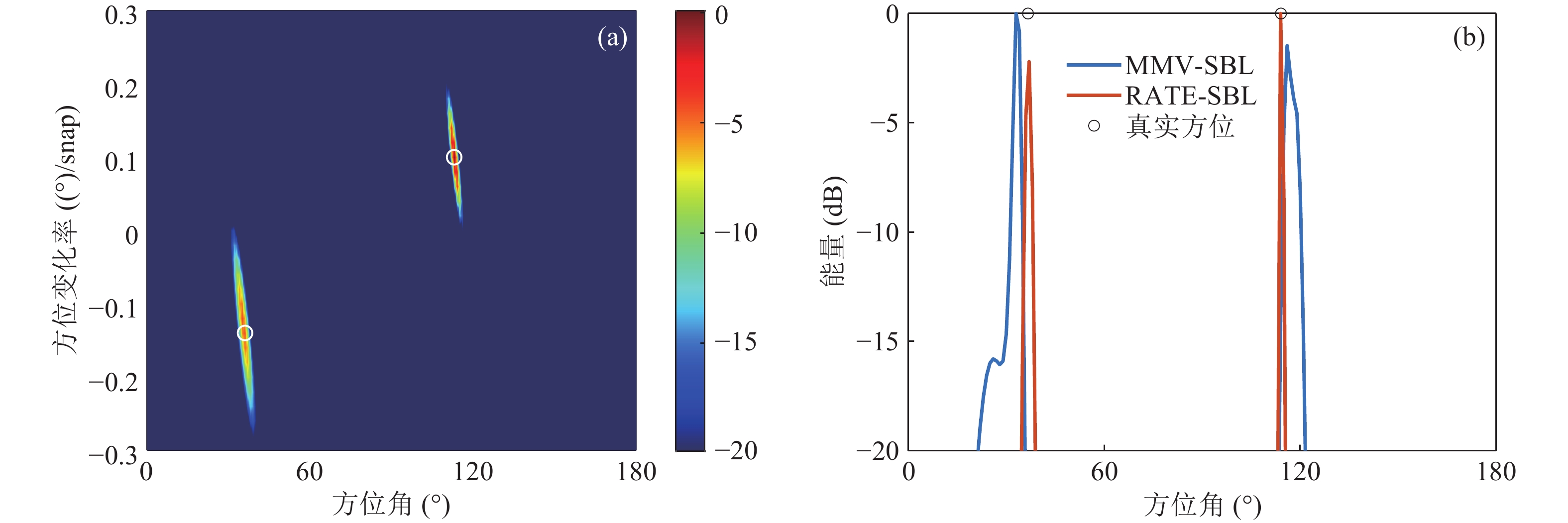
两个运动目标情况下最后一帧的方位估计结果(a) RATE-SBL方法关于目标方位角和方位变化率的估计二维图; (b)  RATE-SBL方法和60快拍MMV-SBL方法的方位谱对比

爱快iKuai-商业场景网络解决方案提供商

5G NR 常用术语| 热夏的博客

高信道利用率: r/meshtastic

计算机网络微课堂》1-5 计算机网络的性能指标- peterjxl - 博客园

不同信道均衡方法BER性能分析

1.1_5_2 计算机网络的性能指标(下)_计算机网络性能指标大题及答案解析-CSDN博客

TCP/IP-腾讯云开发者社区-腾讯云

星闪技术| 点亮万物互联

S-R-S链路数据包平均错误率变化

WIFI 常识-腾讯云开发者社区-腾讯云

灵活高效超高速WLAN速率自适应算法

波特率| SBG Systems

JCST-2504-15508-1.jpg

爱快iKuai-商业场景网络解决方案提供商

如何找到最佳WiFi频道— 指南

国家基础学科公共科学数据中心

什么是无线网络- MATLAB & Simulink

声网发布全链路加速FPA为互联网增加QoS保障- 动点科技

一种新型消息驱动跳频系统及其性能分析

计算机网络——数据链路层3.0 数据链路层数据链路层使用的信道主要有以下两种类型: 点对点信道:这种信道使用一对一的点-

高密无线技术| 解密Wi-Fi高密办公场景下的三V体验保障

高斯信道与莱斯信道的误码率曲线

算法系统框架及主要流程

无线信道数字孪生关键技术[1]

通信系统分析| 无线InSite® 软件| Remcom

验证Wi-Fi吞吐量:测试和监控指南- Cisco

不同信噪比时地址3的唤醒成功率曲线

系统概况-爱快iKuai-商业场景网络解决方案提供商

Wi-Fi 7新里程碑:英特尔与博通完成业内首个跨供应商演示- 通信技术- Wi-Fi - cnBeta.COM

a) 300−500 GHz频段上在50 cm的无线传输后对8个信道的误码率性能的测量[52]; (b)在2.8 m无线传输后,  对X和Y路径中的两路THz信号进行了评估, 图中为比特BER性能与UTC-PDS光功率的函数[55]; (c) “w/o  KK”、“二次KK”、“指数KK”的BER与CSPR及UTC-PD输入的光功率的函数曲线[56]

计算机网络数据链路层_纯aloha和时隙aloha的区别-CSDN博客

RIS辅助通信场景中一种基于展开信道的物理层密钥生成方法

单运动目标情况下RATE-SBL方法的方位估计结果(a) RATE-SBL在60快拍下的时间方位历程图; (b)  RATE-SBL关于目标方位角和方位变化率的估计二维图; (c) RATE-SBL和60快拍MMV-SBL的方位谱对比

span class=基于导频信号的LTE系统高移动性信道估计算法">

射频运行状况和利用率|Mist |瞻博网络

3.4.2(3)共享式以太网的退避算法和信道利用率

信道估计结果

高斯信道下数字调制理论误码率- devindd - 博客园

3.4.2退避算法和信道利用率_退避用変数-CSDN博客

应对Wi-Fi 7设计与测试复杂性,加速物联网(IoT)普及- LitePoint

无线信道数字孪生关键技术[1]

连续多组传输中每组信道利用率

高信道利用率: r/meshtastic

PPT - 8.6 用户接入网PowerPoint Presentation, free download - ID:3811732

误码率仿真结果与理论结果对比

电子系团队揭示新兴架构芯片弱一致性缓存的侧信道安全问题-清华大学

检查是否信道利用率高

19 февраль 0 1
2023 copyright text.